 |
|
14.03.2018, 13:03
|
#31
|
|
Живу я тут
Реєстрація: 11.09.2011
Звідки Ви: Харьков
Дописи: 341
сказав Дякую: 172
сказали Дякую 245 раз(и) в 151 повідомленні
|
Відповідь: Как вырастить красивые аквариумные растения ===www.aquaforum.ua===
Цитата:
Допис від Bahmut
Худший вариант это реактор . Большая коробка с сомнительной способностью хорошо растворять, красивая только на фото и первые дни.
|
Конкретизируйте, какой реактор Вы имеете ввиду. Их масса. Проточный пассивный, проточный активный или типа флиппер? Если у последнего способность растворять действительно сомнительная, то у первых двух она стоит вне конкуренции...
|
|
|
|
Ці 2 користувач(ів) сказали Дякую vadimk005 за це повідомлення:
|
|
14.03.2018, 14:17
|
#32
|
|
Живу я тут
Реєстрація: 06.02.2008
Звідки Ви: Киев
Дописи: 14.056
сказав Дякую: 8.925
сказали Дякую 5.975 раз(и) в 2.958 повідомленні
|
Відповідь: Как вырастить красивые аквариумные растения ===www.aquaforum.ua===
vadimk005,

То, что вы считаете "активным", это всё вариации трубки всунутой в фильтр, то-же самое, только стоит отдельно, ещё один пример необязательного оборудования в аквариуме которое красиво на картинке первое время Конечно, может и такое быть, но только если не ставить это в аквариум, если он внешний. И если у вас внешний фильтр (ещё один пример ненужного, лишнего оборудование для растительного аквариума). Иначе ваш "активный проточный" точно так будет заросшей коробкой.
Ну а я разумеется имел в виду флипер, а не такую экзотику
Вот это лишнее в аквариуме, как и тот активный

__________________
Богдан
Востаннє редагував Bahmut: 14.03.2018 о 14:27..
|
|
|
14.03.2018, 14:37
|
#33
|
|
Super Moderator
Реєстрація: 10.02.2010
Звідки Ви: Киев
Дописи: 8.688
сказав Дякую: 6.565
сказали Дякую 9.135 раз(и) в 3.930 повідомленні
|
Re: Відповідь: Как вырастить красивые аквариумные растения ===www.aquaforum.ua===
Цитата:
Допис від Bahmut
То, что вы считаете "активным", это всё вариации трубки всунутой в фильтр,
|
Богдан, не совсем так)) Активные реакторы работают на принципе противотока- пузырек танцует в нисходящем потоке до тех пор пока не растворится. Они действительно очень эффективны, но в случае внутреннего точно не добавляют эстетики, а в случае внешнего- добавляют совсем не обязательных два стыка в магистраль. Ими есть смысл пользоваться при необходимости ну очень приличных подач. В "умеренных" случаях, согласен с тобой- более чем достаточно их "имитаций", о которых говорилось выше)))
__________________  
|
|
|
|
cказали "Дякую" Ю.В. за цей допис:
|
|
14.03.2018, 15:12
|
#34
|
|
Живу я тут
Реєстрація: 13.06.2016
Звідки Ви: Одесса
Дописи: 2.185
сказав Дякую: 424
сказали Дякую 840 раз(и) в 639 повідомленні
|
Re: Відповідь: Как вырастить красивые аквариумные растения ===www.aquaforum.ua===
Цитата:
Допис від Bahmut
Ну а я разумеется имел в виду флипер, а не такую экзотику
Вот это лишнее в аквариуме, как и тот активный
|
Флиппер лишний или я не понял холивара ?
Чего это он лишний, полтора года такие трудились и 10, 20, 30 и 40 литрах. А для браги вариантов не сильно то и много. Ещё есть JBL Тайфун, тоже очень неплох. Мыть раз в месяц и никаких проблем.
С баллоном, конечно, все по-другому 
|
|
|
14.03.2018, 15:44
|
#35
|
|
Живу я тут
Реєстрація: 06.02.2008
Звідки Ви: Киев
Дописи: 14.056
сказав Дякую: 8.925
сказали Дякую 5.975 раз(и) в 2.958 повідомленні
|
Відповідь: Re: Відповідь: Как вырастить красивые аквариумные растения ===www.aquaforum.ua===
Torin21,
Для браги он уж точно не нужен. Трубку с бражки воткните во внутренний фильтр, тут даже самый дохлик китайский на 2 Вт справится. Нравится реактор, проблем нет, пользуйтесь. Но просто можно и без него, и терять СО2 не будете, тем более с брагой его не хватает всегда
__________________
Богдан
|
|
|
14.03.2018, 15:52
|
#36
|
|
Живу я тут
Реєстрація: 13.06.2016
Звідки Ви: Одесса
Дописи: 2.185
сказав Дякую: 424
сказали Дякую 840 раз(и) в 639 повідомленні
|
Re: Відповідь: Re: Відповідь: Как вырастить красивые аквариумные растения ===www.aquaforum.ua===
Цитата:
Допис від Bahmut
Torin21,
Для браги он уж точно не нужен. Трубку с бражки воткните во внутренний фильтр, тут даже самый дохлик китайский на 2 Вт справится. Нравится реактор, проблем нет, пользуйтесь. Но просто можно и без него, и терять СО2 не будете, тем более с брагой его не хватает всегда
|
Не, ну я вообще все перепробовал  и ветку рябины и иглу, и десятка полтора разнообразных самодельных реакторов. Но все равно возвращался к лесенкам. С иглой шумит и летающие пузыри не нравились.У меня даже были проточные реакторы между головой и губкой. Ну такое, мое имхо в том, что лесенки таки имеют таки смысл как готовое и самостоятельное устройство.
|
|
|
|
Ці 2 користувач(ів) сказали Дякую Torin21 за це повідомлення:
|
|
16.03.2018, 16:17
|
#37
|
|
Живу я тут
Реєстрація: 11.09.2011
Звідки Ви: Харьков
Дописи: 341
сказав Дякую: 172
сказали Дякую 245 раз(и) в 151 повідомленні
|
Відповідь: Как вырастить красивые аквариумные растения ===www.aquaforum.ua===
Цитата:
Допис від Bahmut
Ну а я разумеется имел в виду флипер, а не такую экзотику
Вот это лишнее в аквариуме, как и тот активный
|
Богдан, Вы часто ездите в командировки? Я часто. Проходил и рябину, и атомайзеры, и леченки. Вернулся к внешнему проточному пассивному реактору. И вот это "лишнее" оборудование позволяет аквариуму беспроблемно пережить мое частое недельное отсутствие. Подача на импеллер имеет право на жизнь, но если я не хочу у себя в травнике большой черной бандуры, тогда как? Вы судите очень однобоко и предвзято. Тогда выбросьте из аквариума удобрения, фильтры - они ведь тоже лишние. Или я не прав?
|
|
|
|
Ці 2 користувач(ів) сказали Дякую vadimk005 за це повідомлення:
|
|
16.03.2018, 16:21
|
#38
|
|
Живу я тут
Реєстрація: 06.02.2008
Звідки Ви: Киев
Дописи: 14.056
сказав Дякую: 8.925
сказали Дякую 5.975 раз(и) в 2.958 повідомленні
|
Відповідь: Как вырастить красивые аквариумные растения ===www.aquaforum.ua===
Цитата:
Допис від vadimk005
часто. Проходил и рябину, и атомайзеры, и леченки. Вернулся к внешнему проточному пассивному реактору. И вот это "лишнее" оборудование позволяет аквариуму беспроблемно пережить мое частое недельное отсутствие.
|
Иголка воткнутая в мочалку фильтра не позволяет пережить частое недельное отсутствие?
Цитата:
Допис від vadimk005
Тогда выбросьте из аквариума удобрения, фильтры - они ведь тоже лишние. Или я не прав?
|
Нет не правы. Фильтр конечно не нужен в аквариуме с растениями (точнее хоть фильтр в аквариуме с растениями не нужен, но он лучшее что есть для перемешивания воды, перемешивание это единственная его функция), а удобрения не занимает места в аквариуме, если вы его с баночками туда не опускаете.
__________________
Богдан
Востаннє редагував Bahmut: 16.03.2018 о 16:28..
|
|
|
16.03.2018, 22:27
|
#39
|
|
Живу я тут
Реєстрація: 06.02.2008
Звідки Ви: Киев
Дописи: 14.056
сказав Дякую: 8.925
сказали Дякую 5.975 раз(и) в 2.958 повідомленні
|
Відповідь: Как вырастить красивые аквариумные растения ===www.aquaforum.ua===
Кстати о фильтре в аквариуме с растениями
Нужен ли внешний фильтр в растительном аквариуме? Если под фильтрацией вы понимаете биологическую или механическую фильтрацию, то нет, абсолютно не нужен. Ценность фильтра для биологический фильтрации в растительном аквариуме равна нулю. Во первых подавляющее большинство видов нитрифицирующих бактерий живёт в толще воды, и материал фильтра и даром им не нужен. А та, часть которая живёт на поверхности, найдёт поверхность в других местах аквариума, на стеклах, растениях, грунте, камнях, корягах, на любом участке в аквариуме. И кстати по современным научным представлениям нитрификацией в основном занимаются не бактерии, а археи.
Внешний фильтр был изобретён совсем для других аквариумов, в первую очередь для цихлидников, с жёсткой щелочной водой где толком нет растений и соли аммония образующиеся в результате жизнедеятельности обитателей, опасны самим обитателям. Этого всего нет в растительных аквариумах. В кислой среде (мягче вода, СО2) эти соли много менее вредны и легко химически связываются, их образуется намного меньше , а сами растения аммоний и нитриты потребляют даже лучше нитратов
Нужен ли внешний фильтр для механической фильтрации? Та тоже в реальности практически нет. Он нужен в аквариумах где нет грунта или грунт крупный, где роющие рыбы. Там где детрит не задерживается в грунте. Это не относится обычно к аквариумам с растениями. Без фильтра всё будет просто скапливаться в грунте, где удаляется сифонкой или идёт на корневое питание. В любом случаи и при наличии лучшего фильтра 90% отходов в аквариуме с грунтом и без роющих рыб скапливается в грунте. А фильтрующая способность фильтра зависит не от типа фильтра (внутренний или внешний) а только от размера пор в мочалке этого фильтра, чем меньше поры, тем больше от него толка в фильтрации. И нужно обязательно эти мочалки мыть. То, что внешние фильтры не моют месяцами, сводит пользу механической фильрации к нулю.
Главная функция внешнего фильтра, это перемешивание воды. Но даже в этом он не идеален, так как выбрасывает воду фактически из одной точки. Это пытаются исправить разной формой трубки (например Лилипайп) но малейшая проверка с красителями в воде доказывает, что это не сильно улучшает ситуацию, только с флейтой что-то выходит толковое.
И ещё не забывайте удалить уголь, первые дни своей жизни он может воровать много чего нужного из воды. Старый уголь безвреден.
При сравнении внешнего и внутреннего фильтра для растительного аквариума первый уступает во всём. При той-же потребляемой энергии внутренний пропускает через себя намного больше воды (нет трубок, дополнительных препятствий, его чаще промывают), внутренний легче обслуживать, он меньше шумит пока живы присоски (внешний часто довольно громкий и иногда угрожает потечь), с внутреннего лучше распределяется ток воды по всему аквариуму (флейтой идущей в комплекте), он в несколько раз меньше стоит. Единственное преимущество внешнего фильтра - эстетическое. Его меньше видно. Но даже тут, если вы хотите сделать фото без оборудования, внутренний легче удалить а аквариума чем трубки внешнего.
Внешний фильтр пришедший в мир растительной аквариумистики из другого мира (мира Танганьики) оказался тут довольно не обязательным. Лучше с эстетической точки зрения, и худший или бесполезный во всём остальном по сравнению с фильтром внутренним
__________________
Богдан
Востаннє редагував Bahmut: 16.03.2018 о 22:37..
|
|
|
|
Ці 7 користувач(ів) сказали Дякую Bahmut за це повідомлення:
|
|
20.03.2018, 21:36
|
#40
|
|
Живу я тут
Реєстрація: 06.02.2008
Звідки Ви: Киев
Дописи: 14.056
сказав Дякую: 8.925
сказали Дякую 5.975 раз(и) в 2.958 повідомленні
|
Відповідь: Как вырастить красивые аквариумные растения ===www.aquaforum.ua===
Расскажу ещё об одной вещи, которую многие делают, но которая совершенно бесполезна
Отстаивание воды для подмен.
В двух словах. Даже если вашу воду хлорируют (очищают хлором), то после того как вы набрали воду с под крана, от хлора в воде через 10 минут не остаётся и следа. Всё остальное время бесполезно.
Ничего другого вредного из воды отстаиванием вы не удалите. Зато при длительном отстаивании (несколько суток) без аэрации или перемешивании возможен большой вред. В теплоте комнаты (особенно летом) улетучивается кислород растворённый в воде, а в воде находится множество погибших микроорганизмов, размножившиеся новые быстро дотрачивают остатки кислорода а занесённые новые микроорганизмы могут запустить анаэробные процессы, вода протухает.
Скрытый текст
Вообще очистка воды на станциях, это очень разный процесс, в каждом месте по своему.
Например в Киеве вода бывает артезианская (жилые массивы Оболонь, Троещина и Минский), Деснянская (Левый берег, Голосеевский, Шевченковский, Печерский и Соломенский районы), и Днепровская (Святошино, Борщаговка, Академгородок, Куреневка, Виноградарь). Это в основном, магистраль ведь закольцована в принципе иногда может быть по другому.
Так вот, очистка воды зависит от источника.
Например Днепровскую воду на первом этапе мешают с добавлением аммиака, сернокислого алюминия, жидкого хлора, флокулянта и гидроксохлорида алюминия и др. После фильтрации в другом бассейне добавляют новую дозу жидкого хлора.
Но например на улицах (оболонь) Героев Днепра, Героев Сталинграда, Богатырской воду очищают по технологии REDOlyt (смесью оксидантов, получаемых из раствора пищевой соли с помощью электролиза). Отдельно хлор не добавляют.
Так вот в одном только районе Оболонь (где я живу) четыре разные способа очистки воды (хлорирование артезианской для массива оболонь и минский, электролиз пищевой соли для улиц Героев Днепра, Героев Сталинграда, Богатырской), многоступенчатый для днепровской воды (Куреневка, Виноградарь), и свой отдельный когда попадает Деснянская вода.
Весной в половодье Днепровскую воду ещё озонируют и аэрируют.
С этого года в Киеве начинают вместо хлора добавлять Диоксид хлора (как в Европе), к 2019 году обещают полностью перейти на новую технологию.
В других городах могут быть свои технологии
Какой бы способ не выбрал ваш водоканал, даже если там есть хлор, он тут-же улетучивается. А безвредная вода начинает тут-же портится, в ней заводятся новые микроорганизмы, и чем дольше вы держите воду, тем их будет больше. Вы как-бы начинаете восстанавливать воду до очистки водоканалом, и хорошо если выйдет как в реке, а не анаэробное, тухлое болото.
Если вам по каким-то причинам всё-таки нужно отстаивать воду больше суток, то поставьте там аэратор или помпу, и не закрывайте плотно.
Единственно нужная причина отстаивать воду, это зимой выровнять её температуру с комнатной. Но и в этом случаи можно просто намешать её с горячей (особенно если у вас свой бойлер). Точная температура не нужна, в природе где нибудь на мелководье на 10 градусов то-же может колебаться температура в течении суток. Но всё-же желательно не большая разница, особенно для маленьких аквариумов, куда доливаете воду моментально. Для больших, куда воду доливаете скажем в течении часа, то и 5 градусов разницы не проблема.
Отстаивать воду нужно только для живности при запуске новых аквариумов, что-бы там восстановилась убитая водоканалом микрофлора и уменьшилось количество растворённого воздуха. Растения можно сажать сразу в новый аквариум. У них своя нужная микрофлора, которая и не будет развиваться в аквариуме без растений. Несколько часов можно отстаивать воду если планируете по какой-то причине массированные подмены воды (70-90%) в аквариумах с рыбками-креветками, тут это нужно для дегазации (удаления лишних газов растворившихся в трубах под давлением). Если воду меняете на половину или меньше, это не обязательно. Для аквариумов только с растениями то-же можно менять сразу любой объём без отстаивания.
Единственно, когда 1-2 раза в году проходит санитарная обработка магистрали, эту воду желательно не использовать, или дать отстояться часик.
Избавьте себя от лишней работы, а свою квартиру от лишних бочек-вёдер)
__________________
Богдан
Востаннє редагував Bahmut: 20.03.2018 о 22:57..
|
|
|
|
Ці 4 користувач(ів) сказали Дякую Bahmut за це повідомлення:
|
|
31.05.2018, 17:07
|
#41
|
|
Живу я тут
Реєстрація: 06.02.2008
Звідки Ви: Киев
Дописи: 14.056
сказав Дякую: 8.925
сказали Дякую 5.975 раз(и) в 2.958 повідомленні
|
Відповідь: Как вырастить красивые аквариумные растения ===www.aquaforum.ua===
Как запустить новый аквариум с растениями.
Это на самом деле очень просто, главное понимать две вещи.
Первое, что растения сами по себе не способны усваивать большинство нужных им питательных веществ (посредниками выступают сотни видов бактерий, архей, ну и микориз). А в новом аквариум их почти нет, и сами по себе они не разрастутся, пока вы не посадите растения. Это главный фактор, вызывающий проблемы при запуске нового аквариума.
И второе, растения нужно кормить с первого дня. Никаких внутренних запасов питательных веществ у быстрорастючки способной за несколько дней удвоить свою массу, на долго не хватит.
Как это сделать практически? Все нужные бактерии, археи, грибы уже есть на поверхности растений, на листьях, стеблях, корнях, в старой аквариумной в воде, и особенно старом аквариумном грунте. Их нужно просто занести в новый аквариум.
Поэтому при запуске нового аквариума старайтесь сразу посадить побольше растений. С ними вы занесёте все нужные колонии микроорганизмов. Ни в коем случаи не нужно промывать или как-то дезинфицировать растения для нового аквариума, не нужно их излишне пересушивать на открытом воздухе, а так-же не следует при запуске использовать растения выращенные в теплицах или полюдариумах (по крайней мере не запускаться исключительно на таких).
Попросите у продавца дать вам немного воды со старого благополучного аквариума, по возможности с отсифониным илом со дна. Если у вас уже есть другой аквариум, бросьте с него пару щепоток грунта в новый аквариум, это самый лучший вариант (если он другого цвета или фракции просто, заранее, насыпьте немного под новый грунт)
И после запуска, сразу кормите растения (и микроорганизмы). Используйте или питательный грунт, или питательную подложку, или питательные таблетки. А так-же давайте жидкие удо микро и макро с первого дня в рекомендованной производителем дозе. Хоть на самом деле важна не дозировка, а концентрация питательных веществ в воде, но даже при плотной посадке начальная масса растений не велика, и этого количества удо пока хватит. Не бойтесь водорослевой вспышки, если растениям будет хорошо, то они сами не дадут водорослям шанса.
Это главное, и ещё по мелочам.
Не сажайте по возможности растения с корнями, старые корни всё равно сгниют, в новом месте растения должны пустить новые. Исключения только кустовые растения (которые просто не будут держаться в грунте, для них оставьте минимальные корни, укоротите до 3-4 см) ну и мелкие растения вроде кубы или глоссостигмы, которые без корней просто не посадите.
Растения сажайте сразу после запуска аквариума. Так-же сразу можно сажать стайку креветок или мелких рыбок, не ждите никакого "биобаланса" который там якобы сам установится. Биобаланс (колонии бактерий и архей по переработке продуктов жизнедеятельности живности) появится только после того, как эта самая живности начнёт гадить в аквариуме. Не раньше. Микроорганизмам по переработке отходов неначем будет вырасти, если в аквариуме этой самой живности производящей отходы нет. Так-что сажайте смело сразу при запуске, главное что-бы общая масса новопосаженой живности была не большой. Ну там пару десятков сантиметровых неокардинок или пару самцов гуппи на 50 литров, десяток молодых улиток (физ, катушек) на первое время хватит. Пользы от них много, они могут контролировать рост водорослей в самом начальном периоде, когда те только появляются в мизерном количестве, особенно диатомовых (бурый налёт).
Главное не перекармливайте живность. Если вы купили рыбок-креветок у разводчика (а не в магазине) вылейте воду в которой они приехали к вам в новый аквариум.
Не сажайте в новый аквариум больные или поражённые водорослями растения. Дело не в том, что-бы не занести водоросли (они всё равно занесутся тем или иным путём ), а в том, что поражённое растения значит больное, ослабленное. А новый аквариум это не лучшее место для попыток вылечить их.
Никакие манипуляции со светом (короткий день, спектр, яркость) не имеют особого смысла, так как у водорослей и растений требования и желания одинаковы, так как эволюционировали они на одной планете под общим солнцем. Что хорошо одним, то хорошо и другим. Мучая водоросли вы мучаете и растения. Только водоросли потом, как всё нормализуется, быстрее восстанавливаются и размножаются, чем растения. Единственно - полное, несколько-дневное затемнение многие мелкие водоросли переносят хуже чем крупные растения.
__________________
Богдан
|
|
|
|
Ці 6 користувач(ів) сказали Дякую Bahmut за це повідомлення:
|
|
09.07.2018, 14:46
|
#42
|
|
Живу я тут
Реєстрація: 06.02.2008
Звідки Ви: Киев
Дописи: 14.056
сказав Дякую: 8.925
сказали Дякую 5.975 раз(и) в 2.958 повідомленні
|
Відповідь: Как вырастить красивые аквариумные растения ===www.aquaforum.ua===
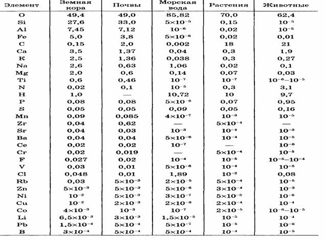
Нужны ли дополнительные фосфаты в аквариуму?
Необходимость фосфора в аквариуме это миф. Он в аквариуме нужен в микро-количествах
Вот пример из чего состоят молодые растения. В аквариуме все листики-веточки молодые, им дни, недели, редко месяцы
Как видно Фосфора в них в 43 раза меньше чем Азота, даже в три раза меньше чем Серы. А в любых комплексных удо Макро соотношение Азота-Фосфора 7 к 1, или 10 к 1. То есть мы и так с Макро вносим в 4-6 раз больше фосфора, чем нужно растениям. А если учесть что рыбы-креветки производят Азота с Фосфором 1 к 2, то есть в 20 раз больше фосфора чем нужно, очевидно что в аквариуме не может быть недостатка Фосфора. И даже если тесты на фосфаты в зрелом вам покажут нулевое содержание фосфатов, даже это не говорит, что фосфора мало. Фосфора всё равно полно в грунте, в иле на дне, а потребляется он в основном корнями из грунта, с помощью микориза и симбиотических бактерий и архей. В воде он почти и не нужен. Кстати и воде его может быть достаточно, только не в форме фосфата (только его и определяют бытовые тесты)
Три гуппика которых кормят животным кормом, способны производить больше фосфора, чем нужно аквариуму.
И не обращайте внимания тесты на фосфаты как написал выше бесполезны. Тем более, что при разумных передозировках (которые советуют как нормальные) вреда от него нет
__________________
Богдан
|
|
|
|
Ці 3 користувач(ів) сказали Дякую Bahmut за це повідомлення:
|
|
09.07.2018, 20:42
|
#43
|
|
Super Moderator
Реєстрація: 10.02.2010
Звідки Ви: Киев
Дописи: 8.688
сказав Дякую: 6.565
сказали Дякую 9.135 раз(и) в 3.930 повідомленні
|
Re: Как вырастить красивые аквариумные растения ===www.aquaforum.ua===
Богдан, сильно спорить не буду, ибо не специалист, но как ты с т.з. этой теории объяснишь тот факт что при обнулении (по бытовым, предельно неточным и грубым- все так- колориметрическим тестам) фосфата, в аквариуме начинаются проблемы как с ростом растений, так и с засильем водорослей? А ведь это наблюдение подтверждается практически всеми аквариумистами-практиками.
Теория о том что растения берут питательные вещества, в т.ч. и фосфор, из грунта корнями.... Как бы да, а как бы и вечный геморрой с разного рода питательными грунтами и подложками на старте накапливающими фосфор из воды. Кто бы что ни рассказывал про преимущественно корневое питание, про то что фосффор находится не только в форме определяемого тестами фосфата- пока не выведешь обычным монофосфатом до хотя бы следовых значений по тесту, ни роста растений не добиться, ни водоросли побороть. И этот факт достаточно известен практикам, которые понятия не имеют (точнее, не хотят иметь) о том какие соотношения держат производители, потому что держат его самостоятельно моносоставами.
Ну и последнее. В последнее время, да, появились в литературе данные о том что RR не так однозначно как казалось ранее. Но чтоб оно вообще не работало? Все биологи мира, начиная с Редфильда, ошибаются?
И что это за картинка-то с которой ты оперируешь? Первый же запрос "содержание химических элементов в растениях" в гугле вывалил гору разнородного материала, как я понимаю, кочующего от автора к автору. Кроме твоей, вот еще есть пару интересных))
А вообще- их там мульон и все разные.
Не думаю что нужно так категорически говорить о том что фосфат или не нужен, или нужен в следовых количествах. Ибо тогда мне придется попросить тебя объяснить тот факт, что при использовании одних и тех же (!) мносоставов на основе калиевой селитры и монофосфата калия, разные аквариумы хорошо себя чувствуют при различном их соотношении.
С чем соглашусь, так это с тем что во многих фирменных комплексах макро, фосфат действительно несколько завышен по отношению к тому что просит большинство аквариумов. По моему опыту, на киевском водопроводе и нейтральном грунте, большинство растений комфортнее всего себя чувствуют при классическом "Бадди".
__________________  
|
|
|
|
Ці 6 користувач(ів) сказали Дякую Ю.В. за це повідомлення:
|
|
09.07.2018, 23:08
|
#44
|
|
Живу я тут
Реєстрація: 06.02.2008
Звідки Ви: Киев
Дописи: 14.056
сказав Дякую: 8.925
сказали Дякую 5.975 раз(и) в 2.958 повідомленні
|
Відповідь: Re: Как вырастить красивые аквариумные растения ===www.aquaforum.ua===
Цитата:
Допис від Ю.В.
В последнее время, да, появились в литературе данные о том что RR не так однозначно как казалось ранее. Но чтоб оно вообще не работало?
|
Все эти RR Редфилда не имеют ни малейшего отношения к аквариумистики и растениям. Мужик брал океанические пробы, и смотрел из состав. Так что он меряет планктон (животных) и водоросли, а не растения.. В его океанических пробах вообще нет растений. Не знаю, кто вообще древние RR Редфилда притянул в пресноводную аквариумистику, но она не имеет к ней не малейшего отношения. Редфилд это самая заря исследований, после него всё тысячу раз более серьёзно исследовалось и исправлялось..
И о содержании фосфора в растениях. В растениях фосфор содержится в клубнях, плодах, семенах. В аквариуме никто не выращивает клубни и ягоды, поэтому и фосфор не нужен.. Ваша таблица на счёт растений верна. Её можно использовать в сельском хозяйстве. Но в аквариумистике мы выращиваем ботву, я в ней фосфора мизер, 0.1%
В мире есть тропические леса. Как Амазония, или Индонезия. Так вот, в Амазонии практически нет фосфатов. А те что прилетают с пылью с Африки, тут-же вымываются дождями. В местной почве их нет практически. А леса там пышные. Так вот, наш аквариум больше похож на зелёные джунгли Амазонии, чем на картофельное или кукурузное поле, где без фосфатов никак.
На самом деле все те соотношения Макро и Микро что мы используем в аквариумистике притянуты к нам с сельского хозяйства, много-сот миллиардного бизнеса, где существуют настоящие исследования. Именно от туда к нам пришли все эти пропорции о Азоте-Фосфоре-Калии и микроэлементах, а нет от Редфилда. Вот только забыли или не знали, что фосфор нужен семенам и корнеплодам, а листьям его нужно совсем мало.
Так что и ваша и моя таблица верна. Вот только та, что я дал, именно о веточках (то, что мы выращиваем в аквариуме), а ваша о полноценных растениях с плодами (которых нет в аквариуме)
__________________
Богдан
Востаннє редагував Bahmut: 09.07.2018 о 23:22..
|
|
|
|
Ці 2 користувач(ів) сказали Дякую Bahmut за це повідомлення:
|
|
09.07.2018, 23:42
|
#45
|
|
Живу я тут
Реєстрація: 23.07.2009
Звідки Ви: Днипро
Дописи: 2.681
сказав Дякую: 1.223
сказали Дякую 2.789 раз(и) в 1.221 повідомленні
|
Re: Відповідь: Re: Как вырастить красивые аквариумные растения ===www.aquaforum.ua===
Цитата:
Допис від Bahmut
В мире есть тропические леса. Как Амазония, или Индонезия. Так вот, в Амазонии практически нет фосфатов. А те что прилетают с пылью с Африки, тут-же вымываются дождями. В местной почве их нет практически.
|
В местной почве много чего нет, все потому, что
Цитата:
|
Особенность этих биоценозов состоит в том, что почти вся масса химических элементов, необходимых для питания растений, содержится в самих растениях и только благодаря этому не вымывается обильными атмосферными осадками. При вырубании дождевого тропического леса, атмосферные осадки очень быстро размывают верхний тонкий плодородный почвенный слой и под сведенным лесом остаются бесплодные земли
|
Источник:
http://geolike.ru/page/gl_5815.htm
Bahmut, у вас настолько категоричные суждения, что если сравнить с политикой, то будете наравне с ультра-правыми 
|
|
|
 |
|
|
Тут присутні: 1 (учасників - 0 , гостей - 1)
|
|
|
Ваші права у розділі
|
Ви не можете створювати теми
Ви не можете писати дописи
Ви не можете долучати файли
Ви не можете редагувати дописи
HTML код Вимк.
|
|
|
Часовий пояс GMT +3. Поточний час: 01:34.
|